القلعة نيوز -
فيما يلي نص مشروع قانون الموازنة لسنة 2025 الذي اقره مجلس الوزراء تمهيدا لإحالته إلى مجلس الأمة.
وتضمن مشروع الموازنة العامة لسنة 2025، مواد مشروع قانون الموازنة للسنة المالية 2025، الجداول الرئيسية، قائمة بالمشاريع الرأسمالية للأعوام 2025-2027، موازنات المحافظات حسب السقوف المحددة.
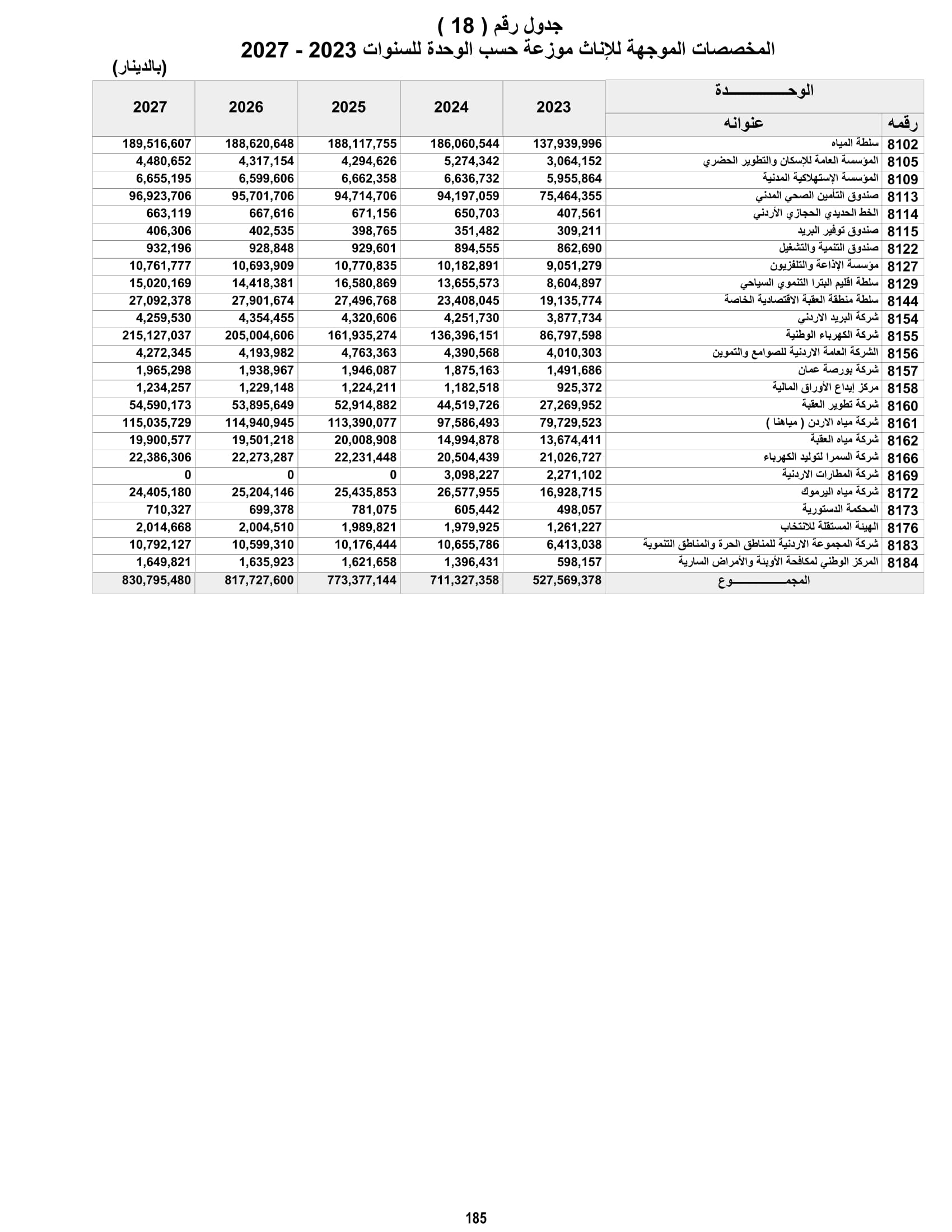
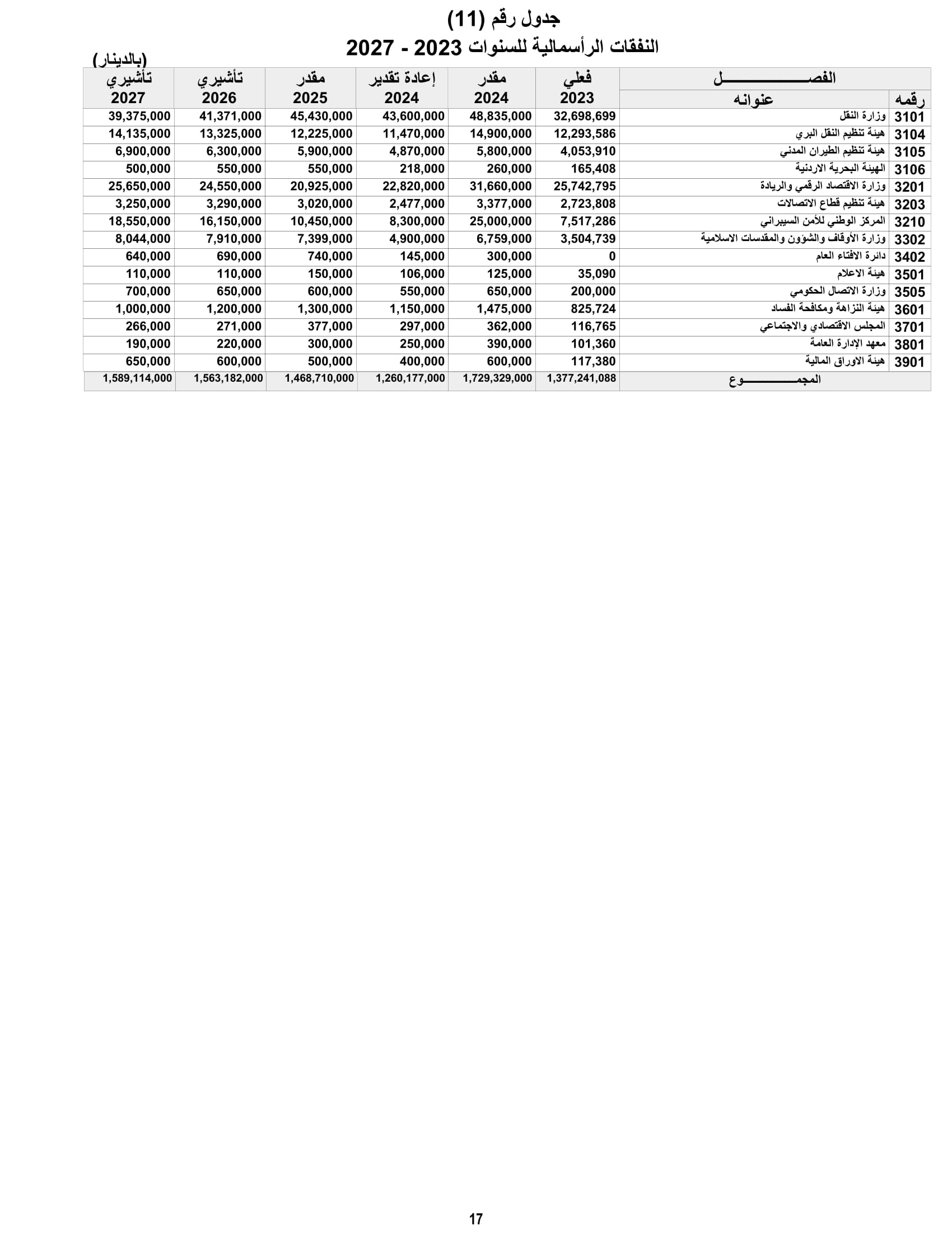
وقدر مشروع القانون إجمالي النفقات العامة بما مقداره (12511) مليون دينار، منها نفقات جارية بنحو (11042) مليون دينار، ونفقات رأسمالية بنحو (1469) مليون دينار، وبارتفاع نسبته 16.5% عن مستواها المعاد تقديره لعام 2024؛ وذلك لتغطية تمويل المشاريع الكبرى، وبناء المستشفيات والمدارس الجديدة، وصيانة المستشفيات والمدارس الحالية.
كما قدر مشروع القانون، الإيرادات العامة بنحو (10233) مليون دينار، منها (9498) مليون دينار إيرادات محلية و(734) مليون دينار منحا خارجية.
وتاليا مشروع قانون الموازنة:
وتضمن مشروع الموازنة العامة لسنة 2025، مواد مشروع قانون الموازنة للسنة المالية 2025، الجداول الرئيسية، قائمة بالمشاريع الرأسمالية للأعوام 2025-2027، موازنات المحافظات حسب السقوف المحددة.
وقدر مشروع القانون إجمالي النفقات العامة بما مقداره (12511) مليون دينار، منها نفقات جارية بنحو (11042) مليون دينار، ونفقات رأسمالية بنحو (1469) مليون دينار، وبارتفاع نسبته 16.5% عن مستواها المعاد تقديره لعام 2024؛ وذلك لتغطية تمويل المشاريع الكبرى، وبناء المستشفيات والمدارس الجديدة، وصيانة المستشفيات والمدارس الحالية.
كما قدر مشروع القانون، الإيرادات العامة بنحو (10233) مليون دينار، منها (9498) مليون دينار إيرادات محلية و(734) مليون دينار منحا خارجية.
وتاليا مشروع قانون الموازنة:




